Animated Plots

The SMG Dust Temperature Bias

Here I illustrate how the SED of a z~2 dusty starburst varies with dust temperature. The redshift and integrated 8-1000um luminosity (thus nominal infrared star-formation rate) are fixed and dust temperature is allowed to vary within a reasonable range for starbursts. The vertical line marks the 850um detection band, corresponding to the nominal SCUBA, LABOCA and SCUBA-2 detection band, showing that only the coldest SEDs would be detectable at 850um.

Download here





The submillimeter's very negative K-correction

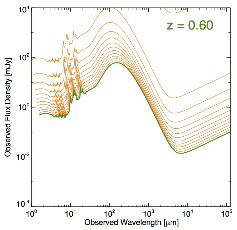
Here I push back a typical SED for a dusty starburst in redshift; we fix it’s rest-frame luminosity. While the mid-infrared and radio flux densities drop substantially with redshift, the submillimeter bands remain fairly constant beyond a redshift of z~1, thanks to the submillimeter’s very negative K-correction. (Note that having a negative K-correction is a necessary-but-not-sufficient condition for the roughly constant submillimeter flux density at high redshifts.)

Download here







Contact Information

Caitlin M. Casey
Department of Physics
Broida Hall, 2015G
University of California, Santa Barbara
Santa Barbara, CA 93106, USA